Superwinds and Superbubbles

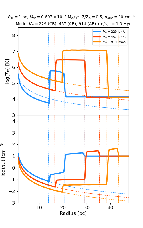
Hydrodynamic Simulations and Photoionization Models

NGC 3079 Superwind and Superbubble
Starburst-driven Superwind and Superbubble in NGC 3079
(Credit: X-ray:NASA/CXC/UMich/J-T Li;Optical:NASA/STScI)

Hydrodynamic Simulations with the Non-equilibrium Atomic Chemistry and Cooling package MAIHEM built on the adaptive mesh hydrodynamics code FLASH, and Photoionization Models with the Photoionization program CLOUDY.
Emissivities Emissivities

© 2021, Site maintained by Ashkbiz Danehkar, based on a free design from codrops.com.